Thép hộp vuông 20×20 chính hãng, giá tốt trên thị trường

43/7B Phan Văn Đối, Ấp Tiền Lân, Bà Điểm, Hóc Môn, TPHCM

thepsangchinh@gmail.com

0909936937 (Tư Vấn)

0907137555 (Tư Vấn)

Thép hộp vuông 20×20 chính hãng, giá tốt trên thị trường

  • Liên hệ
  • - +
  • 249

    Bảng báo giá thép hộp 20x20 cập nhật thường xuyên giúp bạn nắm rõ giá thị trường. Liên hệ các đại lý uy tín như Hòa Phát, Hoa Sen, Nam Kim hoặc tra cứu trên website để có báo giá chính xác và phù hợp với nhu cầu xây dựng của bạn.

    Bảng Báo Giá Thép Hộp 20x20 mới nhất

    Bạn đang tìm kiếm bảng báo giá thép hộp 20x20? Hiểu được nhu cầu của bạn, mình sẽ cung cấp cho bạn những thông tin cần thiết để tìm được báo giá chính xác và phù hợp nhất.

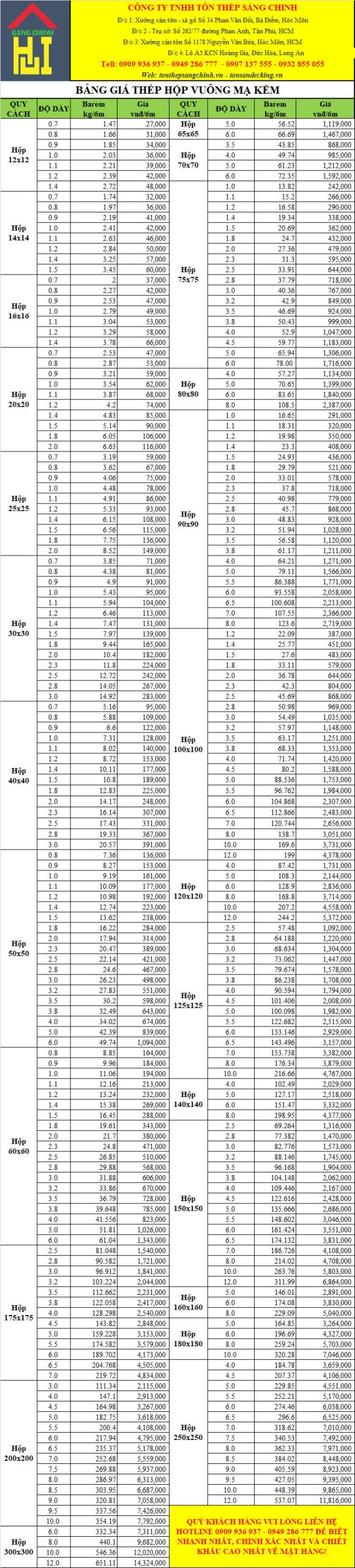
    Bảng báo giá thép hộp vuông mạ kẽm

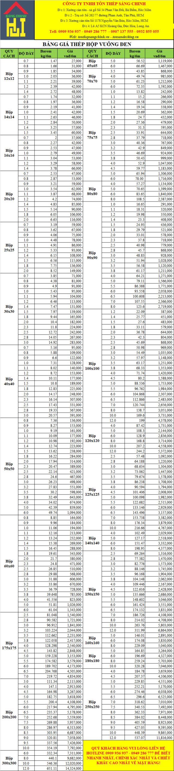
    Bảng báo giá thép hộp vuông đen

    Lưu ý:

    • Giá bán trên chỉ mang tính chất tham khảo, có thể thay đổi tùy theo thời điểm và số lượng đặt hàng.
    • Để có báo giá chính xác nhất, vui lòng liên hệ trực tiếp với Thép Sáng Chinh qua hotline hoặc website.

    Tại sao giá thép hộp 20x20 lại thay đổi?

    Giá thép hộp 20x20 thường xuyên biến động do nhiều yếu tố như:

    • Thị trường thép thế giới: Giá thép trên thị trường thế giới ảnh hưởng trực tiếp đến giá trong nước.
    • Giá nguyên liệu: Giá sắt thép, điện, than... tăng giảm sẽ kéo theo giá thành sản phẩm.
    • Cung cầu: Khi nhu cầu thị trường tăng cao, giá thép cũng có xu hướng tăng.
    • Chính sách của nhà nước: Các chính sách về thuế, phí, hỗ trợ sản xuất cũng tác động đến giá thành sản phẩm.

    Cách tìm bảng báo giá thép hộp 20x20 chính xác nhất:

    • Liên hệ trực tiếp các nhà cung cấp:

      • Các đại lý thép lớn: Hòa Phát, Hoa Sen, Nam Kim... thường xuyên cập nhật bảng giá và có thể tư vấn chi tiết cho bạn.
      • Các cửa hàng vật liệu xây dựng: Họ thường có bảng báo giá các loại thép, trong đó có thép hộp 20x20.
      • Các nhà sản xuất: Nếu bạn mua số lượng lớn, có thể liên hệ trực tiếp với nhà sản xuất để được báo giá tốt nhất.
    • Tìm kiếm trên internet:

      • Website của các công ty thép: Hầu hết các công ty thép lớn đều có website riêng, bạn có thể tìm kiếm thông tin về sản phẩm và bảng giá tại đây.
      • Các diễn đàn, group: Tham gia các diễn đàn, group về xây dựng, vật liệu để tham khảo ý kiến và tìm kiếm thông tin từ những người có kinh nghiệm.
    • So sánh giá từ nhiều nguồn:

      • So sánh giá: Thu thập báo giá từ nhiều nhà cung cấp khác nhau để so sánh và lựa chọn giá cả phù hợp nhất.
      • Kiểm tra chất lượng: Ngoài giá cả, bạn cũng nên quan tâm đến chất lượng sản phẩm, chứng chỉ chất lượng và dịch vụ hậu mãi của nhà cung cấp.

    Thông tin cần lưu ý khi mua thép hộp 20x20:

    • Độ dày: Thép hộp 20x20 có nhiều độ dày khác nhau, bạn cần chọn độ dày phù hợp với nhu cầu sử dụng.
    • Chất lượng: Lựa chọn sản phẩm của các thương hiệu uy tín, có chứng chỉ chất lượng để đảm bảo chất lượng công trình.
    • Số lượng: Nếu mua số lượng lớn, bạn có thể thương lượng để được giảm giá.
    • Phương thức vận chuyển: Hỏi rõ về phương thức vận chuyển và chi phí vận chuyển để tính toán tổng chi phí.

    Lưu ý: Giá thép có thể thay đổi hàng ngày, vì vậy bạn nên liên hệ trực tiếp với các nhà cung cấp để được báo giá chính xác nhất tại thời điểm mua hàng.

    Sản phẩm cùng loại

    Zalo
    Hotline
    📞 PK1: 097 5555 055 📞 PK2: 0907 137 555 📞 PK3: 0937 200 900 📞 PK4: 0949 286 777 📞 PK5: 0907 137 555 💰 Kế toán: 0909 936 937